ABSTRAK
Komputer dapat menghitung secara
akurat persamaan differensial, perkalian matriks, perhitungan eigen value
secara cepat dan akurat. Akan tetapi terdapat juga masalah dalam kehidupan
sehari-hari yang tidak dapat dibuat rumus matematika yang jelas untuk
menghitung output yang diinginkan. Salah satu alternatif solusi yang memenuhi kriteria
ini adalah softcomputing. Makalah ini membahas dan menjelaskan
tentang Soft Computing guna memberi informasi kepada pembaca mengenai Soft
Computing
Soft computing dapat bekerja dengan baik walaupun terdapat
ketidak
pastian, ketidak akuratan maupun kebenaran parsial pada data yang
diolah. Hal inilah yang melatar belakangi fenomena dimana kebanyakan metode
softcomputing mengambil human-mind sebagai model. Soft computing merupakan metode yang dapat mengolah
data-data yang bersifat tidak pasti, impresisi dan dapat diimplementasikan
dengan biaya yang murah (low-cost solution). Beberapa metode yang termasuk
dalam kategori softcomputing misalnya fuzzy logic, artificial neural network,
probabilistyc reasoning.
Soft computing bukanlah suatu metode
yang berjalan sendiri dalam menyelesaikan masalah, melainkan lebih pada
kerjasama serasi antara metode-metode di atas, sehingga segi positif tiap
metode dapat berkontribusi secara aktif.
PENDAHULUAN
Komputer merupakan alat yang mungkin
tidak dapat lagi kita lepaskan dari kehidupan sehari-hari. Di masa lampau,
komputer selalu diasosiasikan dengan barang yang mahal, super canggih dan dapat
menghitung lebih cepat daripada kemampuan manusia. Tapi saat ini ungkapan
tersebut sudah banyak mengalami perubahan. Bila disebutkan
"komputer", maka yang terbayang saat ini adalah sebuah piranti
canggih yang bila dikoneksikan dengan internet, akan membuat sang pengguna
dapat berjalan-jalan di dunia virtual yang kaya dengan informasi audio maupun
visual. Fenomena ini menunjukkan perubahan fungsi computer dari sekedar “alat
hitung” menjadi sebuah piranti yang lebih “manusiawi”. Hal ini merupakan buah
yang dipetik dari pesatnya perkembangan teknologi hardware maupun software computer.
![]() |
| Gambar 1 Perkembangan jumlah transistor pada IC dari tahun ke tahun yang menunjukkan kesesuaian dengan Moore’s law. |
Pada tahun 1965, Gordon Moore telah
memberikan prediksi bahwa jumlah transistor pada IC akan selalu berlipat dua
setiap 18 bulan. Dengan kata lain, tiap 18 bulan kemampuan komputer akan
menjadi duakali lebih cepat. Korelasi ini ditunjukkan pada gambar 1. Ramalan
ini secara ajaib masih berlaku hingga saat ini, setidaknya dalam dua dekade
terakhir. Melihat perkembangan pesat dari computer ini, seringkali timbul
fikiran bahwa pada suatu masa, komputer dapat mengatasi berbagai permasalahan.
Semua masalah dalam hidup dapat dirumuskan dan dikalkulasikan. Hal ini
tergambar juga pada beberapa film non-fiksi. Benarkah demikian ? Kalau kita cermati,
tidak semua masalah yang kita hadapi dapat dibuat rumusan yang pasti dan eksak.
Memang benar, bahwa komputer dapat menghitung secara akurat persamaan
differensial, perkalian matriks, perhitungan eigen value secara cepat dan
akurat. Akan tetapi terdapat juga masalah dalam kehidupan sehari-hari yang
tidak dapat dibuat rumus matematika yang jelas untuk menghitung output yang
diinginkan.
Misalnya:
- Bagaimanakah trend dari bursa saham pada tahun depan ?
- Bagaimanakah cuaca esok hari, hujan ataukah mendung, ataukah terang benderang ?
- Kapankah terjadinya gempa bumi di wilayah Tokai (Jepang Tengah) ?
- Bagaimana mengenali seseorang lewat suaranya ?
Solusi untuk permasalahan jenis
kedua ini tidak dapat dirumuskan dengan mudah. Banyak sekali faktor-faktor
terlibat, yang mengandung kerancuan, ketidakpastian, kebenaran parsial, dsb.
Dalam hal ini, solusi yang diharapkan lebih menitikberatkan pada hal-hal sbb.
- Memiliki kemampuan untuk mempelajari trend yang telah ada, dan memprediksi keadaan di masa yad. (learning ability)
- Kemampuan menganalisa informasi yang disertai oleh noise.
- Robust, sangat unggul
- Low cost solution
- Praktis dan mudah direalisasikan
Salah satu alternatif solusi yang
memenuhi kriteria ini adalah softcomputing. Dalam
bab-bab berikutnya akan dijelaskan lebih lanjut
mengenai definisi, metode-metode
dalam softcomputing, dan contoh aplikasinya.
PEMBAHASAN
1.1. Definisi
Soft Computing
Berbagai macam
definisi softcomputing diberikan oleh para ahli. Salah satu definisinya adalah
sebagaimana disampaikan oleh pencetus softcomputing, yaitu Prof. Lotfi A.
Zadeh, di homepage BIS, sbb:
“Berbeda dengan pendekatan konvensional hardcomputing,
softcomputing dapat bekerja dengan baik walaupun terdapat ketidakpastian,
ketidakakuratan maupun kebenaran parsial pada data yang diolah. Hal inilah yang
melatarbelakangi fenomena dimana kebanyakan metode softcomputing mengambil
human-mind sebagai model.”.
Mengapakah human-mind merupakan
model yang menarik bagi pengembangan softcomputing ? Kunci dari pertanyaan ini
sebenarnya terletak pada struktur dan fungsi dari otak manusia. Otak manusia
merupakan mesin molekuler, yang terdiri dari dua jenis sel: neuron dan glia.
Dalam otak kita terdapat sekitar 1011 sel neuron, sedangkan sel glia sekitar 3
sampai 4 kali lipatnya. Sel neuron berfungsi sebagai pemroses informasi yang
diterima oleh otak. Sel neuron terhubung antara satu dengan yang lain dengan
benang-benang panjang. Berat otak manusia saat lahir sekitar 400 gram,
sedangkan saat dewasa sekitar 1500 gram. Pertambahan berat ini disebabkan oleh
bertambah panjangnya benang-benang tersebut, disamping pertambahan sel glia.
Pertambahan panjang ini berkaitan erat dengan proses pembelajaran yang dialami
oleh manusia. Hal ini merupakan ide awal bagi pengembangan metode
softcomputing: artificial neural network, yang memiliki kemampuan pembelajaran
terhadap informasi yang telah diterima.
Selain kemampuan pembelajaran, otak
manusia juga memiliki kemampuan untuk mengambil keputusan walaupun informasi
mengandung unsur ketakpastian dan kekurangtegasan, seperti “manis”, “pahit”,
“tinggi”, “rendah”, dsb. Hal ini merupakan konsep yang mendasari pengembangan
metode fuzzy, yang mencerminkan cara berfikir manusia. Selain neural network
dan fuzzy, masih banyak lagi jenis-jenis metode softcomputing, yang ide awalnya
bersumber dari otak manusia maupun mekanisme biologi yang terdapat di alam
semesta. Positif dari metode yang ada tersebut dapat dimanfaatkan secara
optimal. Berikut diuraikan konsep dan gambaran mengenai masing-masing pilar
dalam softcomputing.
1.2. Metode-metode
SoftComputing
Mengacu pada definisi yang diberikan
oleh Zadeh, metode-metode dalam softcomputing dapat dikategorikan ke dalam tiga
kategori besar:
- Fuzzy Logic (FL)
- Neural Network Theory (NN)
- Probabilistic Reasoning (PR)
Metode-metode ini sebenarnya
bukanlah sesuatu yang baru diadakan setelah konsep softcomputing dirumuskan.
Yang terjadi justru sebaliknya. Metode-metode Fuzzy Logic, Neural Network
maupun Probabilistic Reasoning telah ada lebih dahulu. Fuzzy Logic telah
berkembang sejak tahun 1965. Konsep-konsep dasar neural network telah digali
sejak tahun 1940-an. Probabilistic Reasoning juga bukanlah hal yang baru sama
sekali. Karena itu, Zadeh menyebut softcomputing sebagai reinkarnasi dari
metode-metode di atas. Lebih lanjut lagi, dalam konsep softcomputing, ketiga
jenis metode ini ibarat pilar, saling mendukung dan bekerjasama dalam
memecahkan suatu permasalahan Keunggulan yang diperoleh dari kerjasama
metode-metode itu lebih ditekankan daripada keunggulan individual salah satu
daripadanya. Kekurangan satu metode akan ditutup dengan kelebihan metode yang
lain. Keunggulan satu metode disumbangkan, sehingga segi-segi dimanfaatkan
secara optimal. Berikut diuraikan konsep dan gambaran mengenai masing-masing
pilar dalam softcomputing.
a.
Fuzzy Logic
(FL)
Fuzzy merupakan representasi suatu
pengetahuan yang dikonstruksikan dengan if-then rules. Karakteristik dari
metode ini adalah :
- Pemecahan masalah dilakukan dengan menjelaskan sistem bukan lewat angka-angka, melainkan secara linguistik, atau variable-variable yang mengandung ketakpastian/ketidaktegasan.
- Pemakaian if-then rules untuk menjelaskan kaitan antara satu variable dengan yang lain.
- Menjelaskan sistem memakai algoritma fuzzy
Berawal dari paper-paper Zadeh di
tahun 1965 mengenai fuzzy-sets, ilmu ini berkembang pesat, dan mulai menemukan
aplikasinya di bidang control pada tahun 1974. Pada saat itu, Mamdani
memperkenalkan aplikasi fuzzy sebagai alat kontrol steam-engine. Hal ini
merupakan momentum penting, sebagai awal bagi teknologi fuzzy untuk menemukan
lading aplikasi di dunia industri. Fuzzy memiliki kelebihan-kelebihan,
diantaranya :
1. Dapat
mengekspresikan konsep yang sulit untuk dirumuskan, seperti misalnya “suhu
ruangan yang nyaman”
2. Pemakaian
membership-function memungkinkan fuzzy untuk melakukan observasi obyektif
terhadap nilai-nilai yang subyektif. Selanjutnya membership-function ini dapat
dikombinasikan untuk membuat pengungkapan konsep yang lebih jelas.
3. Penerapan logika
dalam pengambilan keputusan.
Dewasa ini, fuzzy merupakan salah
satu metode memiliki aplikasi luas di bidang kontrol. Hal ini disebabkan oleh :
1. Kontrol
memiliki potensi aplikasi yang sangat luas dan dibutuhkan di berbagai bidang.
2. Kuantitas suatu
materi dalam system kontrol sangat jelas, dan dapat diekspresikan dengan
istilah-istilah yang fuzzy seperti “besar”, “banyak”.
3. Aturan dalam kontrol mudah untuk didefinisikan memakai
kata-kata. Misalnya “jika suhu dalam ruangan terlalu dingin, naikkan suhu
penghangat”.
4. Perkembangan
teori fuzzy sangat pesat, sehingga batas-batasnya dapat dirumuskan dengan
jelas.
b.
Neural Networks (NN)
Neural Networks (Jaringan Saraf
Tiruan) menurut Haykin [4] didefinisikan sebagai berikut:
“Sebuah neural network (JST: Jaringan Saraf Tiruan)
adalah prosesor yang terdistribusi paralel, terbuat dari unit-unit yang
sederhana, dan memiliki kemampuan untuk menyimpan pengetahuan yang diperoleh
secara eksperimental dan siap pakai untuk berbagai tujuan. Neural network ini
meniru otak manusia dari sudut :
1. Pengetahuan
diperoleh oleh network dari lingkungan, melalui suatu proses pembelajaran.
2. Kekuatan
koneksi antar unit yang disebut synaptic weights, berfungsi untuk menyimpan
pengetahuan yang telah diperoleh oleh jaringan tersebut.”
Pada tahun 1943, Mc.Culloch dan
Pitts memperkenalkan model matematika yang merupakan penyederhanaan dari struktur
sel saraf yang sebenarnya.
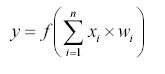
Sebuah neuron memiliki
tiga komponen:
- synapse (w1 , w2 ,…,wn) T
- alat penambah (adder)
- fungsi aktifasi (f)
Korelasi antara ketiga komponen ini dirumuskan pada
persamaan
Signal x berupa vektor berdimensi n
(x1 , x2 ,…,xn)T akan mengalami penguatan oleh synapse w (w1, w2 ,…,wn)T.
Selanjutnya akumulasi dari penguatan tersebut akan mengalami transformasi oleh
fungsi aktifasi f. Fungsi f ini akan memonitor, bila akumulasi penguatan signal
itu telah melebihi batas tertentu, maka sel neuron yang semula berada dalam
kondisi “0”, akan mengeluarkan signal “1”. Berdasarkan nilai output tersebut
(=y),
sebuah neuron dapat berada dalam dua status: “0” atau
“1”. Neuron disebut dalam kondisi firing bila menghasilkan output bernilai “1”.
Sebuah neural network dapat dianalisa dari dua sisi:
1. Bagaimana
neuron-neuron tersebut dirangkaikan dalam suatu jaringan (arsitektur).
2. Bagaimana
jaringan tersebut dilatih agar memberikan output sesuai dengan yang dikehendaki
(algoritma pembelajaran). Algoritma pembelajaran ini menentukan cara bagaimana
nilai penguatan yang optimal diperoleh secara otomatis.
Berdasarkan arsitekturnya, neural
network dapat dikategorikan, antara lain, single-layer neural network,
multilayer neural network, recurrent neural network dsb. Berbagai algoritma
pembelajaran antara lain Hebb’s law, Delta rule, Backpropagation algorithm,
Self Organizing Feature Map, dsb. Berawal dari diperkenalkannya model
matematika neuron oleh McCulloch & Pitts, penelitian di bidang neural
network berkembang cukup pesat, dan mencapai puncak keemasan pertama pada era
tahun 60, dan puncak kedua pada pertengahan tahun 80-an. Penelitian dalam
bidang ini, dapat dibagi dalam tiga kategori:
1. Riset untuk
meneliti proses informasi yang terjadi pada otak dan jaringan saraf. Tema ini
merupakan porsi penelitian para ahli medis dan neuroscientist.
2. Penelitian
teoritis untuk mendalami konsep dasar proses informasi pada otak. Kategori ini
memerlukan ketajaman analisa matematika untuk menggali dasar-dasar teori dari
proses tersebut.
3. Penelitian yang
bertujuan memanfaatkan teori-teori yang telah ada untuk aplikasi. Dalam hal
ini, perlu sekali memperhatikan tingkat akurasi sistem, dan menekan biaya
serendah mungkin (low cost solution).
Dewasa ini, neural network telah
diaplikasikan di berbagai bidang. Hal ini dikarenakan neural network memiliki
kelebihan-kelebihan sbb:
1. Dapat
memecahkan problema non-linear yang umum dijumpai di aplikasi
2. Kemampuan
memberikan jawaban terhadap pattern yang belum pernah dipelajari
(generalization)
3. Dapat secara
otomatis mempelajari data numerik yang diajarkan pada jaringan tersebut
c.
Probabilistic Reasoning (PR) dan Genetic Algorithm (GA)
Berarti mengambil suatu keputusan
atas suatu alasan atau sebab tertentu. Dua jenis reasoning adalah logical
reasoning dan probabilistic reasoning. Salah satu kelebihan probabilistic
reasoning dibandingkan logical reasoning terletak pada kemampuan untuk
mengambil keputusan yang rasional, walaupun informasi yang diolah kurang
lengkap atau mengandung unsur ketidakpastian. Termasuk dalam kategori PR antara
lain teori Chaos, Belief. Networks, Genetic Algorithm. Diskusi dalam makalah ini
difokuskan pada salah satu metode dalam PR, yaitu Genetic Algorithm (GA).
Dasar-dasar GA digali oleh John
Holland pada pertengahan tahun 70-an. GA adalah metode komputasi yang meniru
proses evolusi dan seleksi alam. Metode ini sering dimanfaatkan untuk mencari
nilai optimal suatu fungsi/permasalahan. Untuk mencari nilai optimal tersebut,
pertama-tama parameter-parameter permasalahan ditransfer kedalam bentuk genetik
sebuah kromosom individu yang disebut genotype.
Kromosom ini terdiri dari sederetan
string (misalnya angka “0” dan “1”) yang merupakan analogi dari rantai DNA : A, T, G dan C yang sebenarnya,
pada tubuh makhluk hidup. Selanjutnya suatu populasi yang terdiri dari ribuan
kromosom individu ini mengalami proses seleksi, crossover (persilangan) dan
mutasi yang meniru proses biologi yang terjadi di alam. Operasi ini
diulang-ulang, dari satu generasi ke generasi berikutnya. Kualitas suatu
individu ditunjukkan oleh nilai fitness, yang diukur dengan suatu kriteria yang
mencerminkan sejauh mana kromosom individu tersebut mendekati nilai optimal
yang diinginkan.
Kriteria ini menjadi alat kontrol
bagi proses evolusi, agar kondisi fitness generasi yang mendatang lebih baik
daripada generasi-generasi sebelumnya. Setelah melewati ratusan atau mungkin
ribuan generasi, proses evolusi ini akan menghasilkan individu-individu dengan
nilai fitness yang tinggi. Hal ini mencerminkan diperolehnya jawaban yang
merupakan pendekatan terhadap nilai optimal yang diinginkan. Beberapa
keunggulan yang dimiliki oleh GA adalah sbb:
1. GA memiliki
kemampuan untuk mencari nilai optimal secara paralel, melalui proses kerjasama
antara berbagai unit yang disebut kromosom individu.
2. GA tidak
memerlukan perhitungan matematika yang rumit seperti differensial yang
diperlukan oleh algoritma optimisasi yang lain.
Namun demikian GA memiliki juga
kelemahan dan keterbatasan.
1. Tidak memiliki
rumusan yang pasti, bagaimana mentransfer parameter permasalahan ke dalam kode
genetik. Dengan kata lain, hal ini memerlukan pengalaman dan wawasan dari
desainer.
2. Banyak
parameter yang perlu diset secara baik agar proses evolusi dalam GA berjalan
sesuai dengan yang diharapkan.
3. Penentuan rumus
menghitung fitness merupakan hal yang sangat penting dan mempengaruhi proses
evolusi pada GA. Sayangnya tidak ada prosedur yang baku bagaimana menentukan
rumus tsb.
Dalam hal ini pengalaman dari
desainer memegang peranan penting. Terlepas dari kendala yang ada, GA merupakan
alternatif solusi yang dikenal cukup handal dalam berbagai masalah optimisasi.
1.3. Riset dan
Aplikasi SoftComputing
Dewasa ini
penelitian di bidang softcomputing berkembang dengan pesat dan aplikasinya
dapat ditemukan di berbagai bidang. Hal ini disebabkan softcomputing menawarkan
solusi yang sangat sesuai dengan karakteristik informasi pada real-life domain
yang senantiasa diikuti dengan faktor impresisi, ketidakpastian, dan memerlukan
kemampuan pembelajaran. Berawal dari pemakaiannya untuk alat kontrol mesin uap,
dewasa ini fuzzy memiliki wilayah aplikasi yang luas terutama dalam bidang
kontrol, robotika, pattern recognition, sistem cerdas, dll. Selain paper dan
artikel yang dipublikasikan oleh berbagai journal ilmiah, diskusi mengenai fuzzy
ini dapat diikuti di berbagai milis, maupun newsgroup seperti comp.ai.fuzzy.
Arsip posting newsgroup ini dapat dibaca lewat http://groups.google.com/
dengan mengetikkan “comp.ai.fuzzy” pada kotak pencarian.
Neural Network
memiliki aplikasi yang sangat luas di bidang pattern recognition, seperti voice
recognition, character recognition maupun aplikasi-aplikasi pada bidang
ekonomi, bisnis dan bioteknologi. Salah satu forum diskusi virtual (newsgroup)
yang terkenal di bidang ini adalah comp.ai.neural-nets yang arsipnya dapat
dilihat di google, dengan cara sama sebagaimana uraian sebelumnya. Kumpulan
dari materi diskusi yang berlangsung sejak
1994 di forum ini, kemudian dirangkumkan oleh Warren
Sale sebagai FAQ (Frequently Asked Questions) yang dapat dilihat arsipnya di ftp://ftp.sas.com/pub/neural/FAQ.html
Aplikasi
Genetic Algorithm dapat ditemukan di problem optimisasi seperti job-scheduling,
optimisasi rute mobil, penentuan kandidat gen yang memiliki potensi kedokteran
dan farmasi pada bidang bioinformatika. Salah satu forum diskusi yang cukup
hangat mengenai riset di bidang GA adalah comp.ai.genetic (newsgroup). Arsip
diskusi pada forum ini dapat dicari dengan cara sebagaimana diuraikan di atas.
Selain itu, informasi mengenai Genetic Algorithm ini dapat juga dilihat pada
situs http://www.aic.nrl.navy.mil/galist/
Salah satu
journal yang didedikasikan untuk mempublikasikan penelitian di bidang
softcomputing di antaranya adalah “Soft Computing - A Fusion of Foundations,
Methodologies and Applications” terbitan Springer-Verlag Heidelberg. Journal
lain adalah Applied Soft Computing yang diterbitkan oleh Elsevier. Disamping
itu, paper mengenai teori dan aplikasi softcomputing dapat dibaca pada
journal-journal IEEE, IEICE, maupun proseding seminar-seminar internasional
dalam bidang tsb.
Ciri khas dari
softcomputing adalah penekanan pada partnership atau kerjasama yang saling
menguntungkan dari berbagai metode yang ada. Tiap metode memiliki segi positif
yang dapat disumbangkan secara komplementer, menutupi kekurangan dari metode
yang lain. Contoh populer dari kerjasama komplementer ini adalah system
neurofuzzy. Aplikasi dari kombinasi kedua metode ini dapat dimanfaatkan untuk
system control pada AC, mesin cuci dan berbagai macam alat kebutuhan
sehari-hari konsumen. Kombinasi lain dapat ditemukan pada system neuroGA,
dimana GA dimanfaatkan untuk menentukan struktur yang optimal dari suatu neural
network.
BAB III
PENUTUP
3.1. Kesimpulan
Soft Computing merupakan inovasi
baru dalam membangun sistem cerdas yaitu sistem yang memiliki keahlian seperti
manusia pada domain tertentu, mampu beradaptasi dan belajar agar dapat bekerja
lebih baik jika terjadi perubahan lingkungan.
3.2. Saran
Penulis mengharapkan teknologi
seperti ini digunakan sebijak-bijaknya oleh para pengguna. Pesan kami untuk
masyarakat, selalu lakukan tindakan positif dan kembangkan kemampuan kita
dengan teknologi.
DAFTAR PUSTAKA
- Soft computing (https://en.wikipedia.org/wiki/Soft_computing), Januari 2017
- Pengantar Soft Computing (http://rosyid.lecturer.pens.ac.id/KTI%20(softcomputing)/anto-softcomputing.pdf), Januari 2017


Tidak ada komentar:
Posting Komentar